目标
给你一棵二叉搜索树,请你返回一棵 平衡后 的二叉搜索树,新生成的树应该与原来的树有着相同的节点值。如果有多种构造方法,请你返回任意一种。
如果一棵二叉搜索树中,每个节点的两棵子树高度差不超过 1 ,我们就称这棵二叉搜索树是 平衡的 。
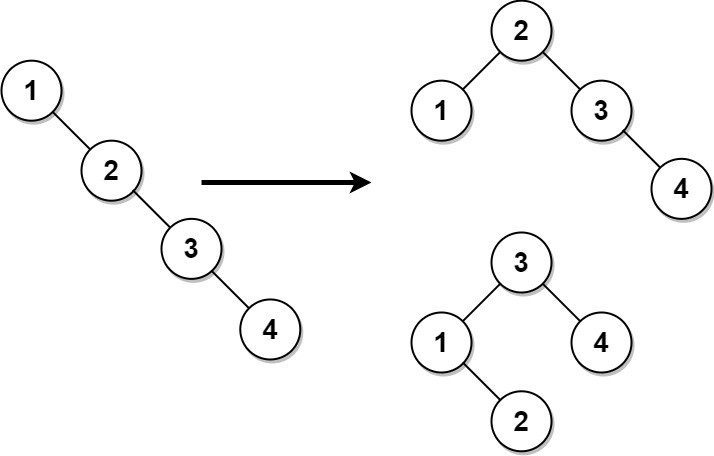
示例 1:

输入:root = [1,null,2,null,3,null,4,null,null]
输出:[2,1,3,null,null,null,4]
解释:这不是唯一的正确答案,[3,1,4,null,2,null,null] 也是一个可行的构造方案。
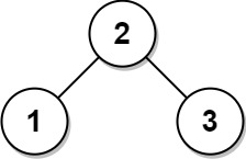
示例 2:

输入: root = [2,1,3]
输出: [2,1,3]
说明:
- 树节点的数目在 [1, 10^4] 范围内。
- 1 <= Node.val <= 10^5
思路
将给定的二叉搜索树变平衡。
中序遍历二叉搜索树,结果列表有序,从中间重新构建 BST。
代码
/**
* @date 2026-02-09 8:56
*/
public class BalanceBST1382 {
public TreeNode balanceBST(TreeNode root) {
List<Integer> list = new ArrayList<>();
dfs(list, root);
int l = 0, r = list.size() - 1;
return buildTree(list, l, r);
}
public void dfs(List<Integer> nums, TreeNode node) {
if (node == null) {
return;
}
dfs(nums, node.left);
nums.add(node.val);
dfs(nums, node.right);
}
public TreeNode buildTree(List<Integer> nums, int l, int r) {
if (l == r) {
return new TreeNode(nums.get(l));
} else if (l > r) {
return null;
}
int m = l + (r - l) / 2;
return new TreeNode(nums.get(m), buildTree(nums, l, m - 1), buildTree(nums, m + 1, r));
}
}
/**
* Definition for a binary tree node.
* public class TreeNode {
* int val;
* TreeNode left;
* TreeNode right;
* TreeNode() {}
* TreeNode(int val) { this.val = val; }
* TreeNode(int val, TreeNode left, TreeNode right) {
* this.val = val;
* this.left = left;
* this.right = right;
* }
* }
*/
性能










